Blog

Autócratas en modo crisis: cómo adaptan los dictadores las opciones de distribución durante las crisis económicas

27 de Enero de 2026
Image
portada-blog-autocrats

Los autócratas podrían discriminar aún más a su oposición como una forma de minimizar el alcance de la disidencia durante las crisis económicas.

La literatura sobre el favoritismo regional y étnico ha demostrado de manera sólida que, en promedio, los autócratas tienden a favorecer a sus partidarios en la distribución de rentas y bienes públicos (Franck y Rainer 2012, Hodler y Raschky 2014, Dickens 2018, De Luca et al. 2018). Si bien estos hallazgos a menudo se atribuyen a las preferencias del líder, no es obvio que los favores al grupo interno sean estratégicos para la resiliencia del régimen. Si bien favorecer a los partidarios puede ayudar a retener su apoyo (Padró-i-Miquel 2007), favorecer a los opositores podría prevenir el inicio de una revolución (De Nardo 1985). Las preocupaciones sobre la estabilidad del régimen podrían magnificarse durante períodos de dificultades económicas, con coyunturas críticas que conducen a amplias quejas económicas contra el régimen, justo cuando los recursos para apaciguar tales quejas disminuyen.

 

Crisis económicas, favores del régimen y protestas: un modelo simple

 

En mi estudio (Morales-Arilla 2025), investigo cómo cambian las estrategias distributivas de los autócratas durante las recesiones económicas. Derivo mis hipótesis de un modelo simple de protestas populares, donde los ciudadanos se dividen entre partidarios del régimen y opositores, y su decisión de protestar está impulsada por su experiencia de agravios económicos y políticos. Si bien los agravios políticos son exclusivos a la oposición, los agravios económicos son compartidos e impuestos por una crisis económica común. Las protestas también son costosas debido a la posibilidad de represión y castigo.

 

Esto ayuda a enmarcar la reflexión sobre los incentivos del régimen, que disfruta de rentas por permanecer en el poder que se ven afectadas por la crisis económica y enfrenta gastos del régimen tanto en capacidad represiva como en transferencias de apaciguamiento específicas. El régimen permanecerá en el cargo en ausencia de disidencia, pero puede ser derrocado si los ciudadanos protestan. La supervivencia depende del alcance de las protestas: si bien una revolución amplia conduciría a un cambio de régimen, el resultado si solo protesta un grupo de ciudadanos es incierto. Para evitar una revolución amplia, el régimen debe equilibrar las perspectivas de inducir a ambos grupos a abstenerse de protestar ('apaciguamiento total') o permitir que solo un grupo salga a la calle ('apaciguamiento parcial'). Si la represión es costosa, el régimen también deberá responder con transferencias específicas. Una oposición que mantiene agravios políticos hace que el apaciguamiento sea más costoso y, por lo tanto, disfrutarían de una transferencia más alta bajo una estrategia de apaciguamiento total, pero serían excluidos y reprimidos bajo un apaciguamiento parcial.

 

La disyuntiva clave para el régimen es que la certeza del apaciguamiento total conlleva costos que crecen desproporcionadamente durante las crisis económicas. Por lo tanto, a medida que las crisis empeoran, los regímenes cambian sus estrategias de apaciguamiento

total a apaciguamiento parcial. La principal hipótesis del modelo es que, a medida que las crisis económicas empeoran, los patrones de favores orientados a los partidarios y la represión de las protestas de la oposición deberían volverse más frecuentes. Pruebo esto utilizando datos de tres contextos diferentes.

 

Los apagones venezolanos de 2019

 

Pongo a prueba las predicciones del modelo centrándome en el caso de los apagones venezolanos de marzo de 2019. Después de cinco años de empobrecimiento drástico y erosión democrática, estos apagones de una semana de duración afectaron repentinamente a la economía del país. Lo más importante es que los apagones ocurrieron en medio de una crisis constitucional que amenazaba la supervivencia del régimen de Maduro, el cual se vio obligado a racionar el suministro de electricidad en respuesta a los cortes de energía.

 

La duración y gravedad de los apagones variaron en todo el país debido a la estructura de la red eléctrica venezolana. Para medir la intensidad local de los apagones, primero agrego las mediciones diarias satelitales de luces nocturnas de cada área administrativa dentro del país durante la semana del apagón y la semana anterior, para luego calcular una tasa de caída de luminosidad específica de la ubicación. La Figura 1 muestra la estructura de la red eléctrica venezolana, la intensidad local de los apagones y las opciones locales de racionamiento de energía del régimen.

 

Image
fig1-autocrats
Figura 1: Estructura de la red eléctrica venezolana, ubicación e intensidad del apagón y opciones de racionamiento de energía

Notas: El noroeste de Venezuela fue la zona más afectada por los apagones y el racionamiento de energía, mientras que el sur se libró en gran medida de ambos.

Fuente: Suite de productos Black Marble de la NASA, Ministerio de Energía de Venezuela y cálculos del autor.

 

Los mapas de la Figura 1 muestran que el noroeste de Venezuela fue el más afectado tanto por los apagones como por el racionamiento de energía posterior. Esto se espera por razones técnicas, ya que la interrupción de la red eléctrica ocurrió en las líneas de transmisión de alta capacidad que conectan las represas de generación hidroeléctrica en el sureste de Venezuela con el noroeste del país. Sin embargo, la Figura 1C muestra claramente cómo Caracas —la capital del país— fue totalmente eximida del racionamiento de energía a pesar de haber sido afectada por los apagones, lo que sugiere que las consideraciones políticas también influyeron en las decisiones de racionamiento del régimen de Maduro (Ades y Glaeser 1995).

 

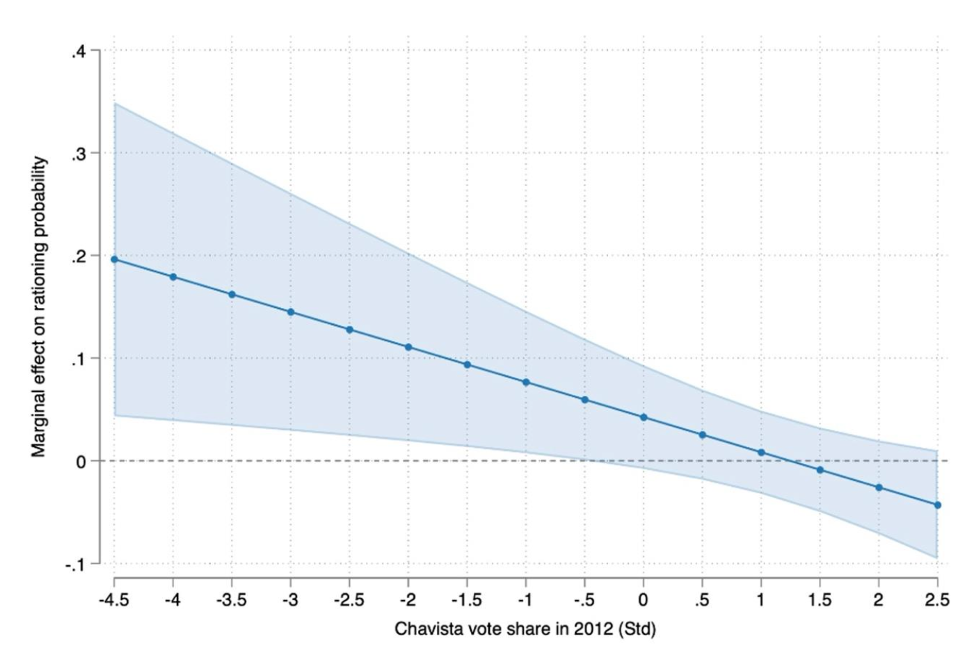
Evalúo si la intensidad del apagón magnifica los patrones de favoritismo hacia los partidarios en las decisiones de racionamiento del régimen. Para ello, estimo un modelo de probabilidad lineal en el que el racionamiento local de energía se explica por la intensidad del apagón, el nivel de apoyo electoral de referencia para el régimen y su interacción. De manera similar, estimo un modelo de diferencias en diferencias que explica el crecimiento de las protestas locales después de los apagones en función de estas mismas variables. De acuerdo con el modelo, la Figura 2 muestra que los efectos de los apagones sobre el aumento del racionamiento de energía y las protestas son más débiles en las áreas del país que apoyan al régimen. Desde la perspectiva del modelo, esto sugeriría que el régimen de Maduro limitó la exposición de sus partidarios a más cortes de energía para atenuar el alcance de las protestas que surgieron a causa de los apagones.

 

Figura 2 Apoyo al régimen y los efectos en la probabilidad de racionamiento y la incidencia de protestas

Image
fig2_blog-autocrats
A) Efecto marginal sobre la probabilidad de racionamiento

 

Image
fig2-blog-autocrats-b
B) Efecto marginal sobre las protestas

Nota: La probabilidad de racionamiento y la incidencia de protestas fue más alta en las áreas de oposición.

Fuente: Cálculos del autor.

 

La tragedia de Vargas de 1999

 

Para evaluar si las predicciones del modelo sobre favoritismo estratégico son específicas a contextos autocráticos, examino la Tragedia de Vargas de diciembre de 1999 como punto de referencia democrático bajo el mismo movimiento político Chavista. Entre el 14 y 16 de diciembre de 1999, el estado costero de Vargas experimentó lluvias torrenciales sin precedentes. El costo humano fue devastador: aproximadamente 20,000 personas perecieron—cerca del 10% de la población del estado de Vargas—convirtiéndolo en uno de los desastres naturales más mortíferos en la historia venezolana y en América Latina durante finales del siglo XX. Infraestructura crítica incluyendo el aeropuerto internacional, la carretera costera principal, servicios públicos y miles de hogares fueron destruidos.

 

El momento del desastre—ocurriendo solo un día después del referéndum constitucional y con megaelecciones pendientes en 2000—creó presión política inmediata sobre el recién empoderado gobierno de Chávez para demostrar gestión efectiva de la crisis. En respuesta, el gobierno estableció dos cuerpos institucionales clave para coordinar los esfuerzos de reconstrucción y desarrolló un plan integral que incluía la identificación de "Áreas de Actuación Especial" (AAE)—zonas designadas para intervención prioritaria y redesarrollo urbano.

 

Para estudiar las consecuencias económicas de la tragedia, analizo un panel de 1,564 cuadrículas (1 km × 1km) capturando la geografía del estado de Vargas durante 15 trimestres entre enero de 1998 y octubre de 2001. Identifico las áreas vulnerables del estado georeferenciando mapas de zonas afectadas, y mido el apoyo político local usando la participación electoral de Hugo Chávez en la elección de 1998 en los centros de votación más cercanos a cada cuadrícula. La Figura 3 muestra la data utilizada para este análisis.

 

Image
fig3-blog-autocrats
Figura 3: Luces nocturnas, áreas vulnerables, áreas prioritarias y apoyo al régimen

 

Image
fig4-blog-autocrats
Figura 4: Efectos de la Tragedia de Vargas sobre zonas vulnerables

 

La Figura 4 muestra estimaciones trimestrales del efecto de la tragedia en áreas vulnerables con niveles promedio de apoyo al régimen (Panel A) y la diferencia de estos efectos en áreas con 1 desviación estándar mayor de apoyo Chavista (Panel B). Estos resultados confirman tendencias paralelas previas a la tragedia y, crucialmente, no muestran heterogeneidad política en los efectos: tanto áreas Chavistas como de oposición dentro de zonas vulnerables experimentaron declives económicos similares. Análisis adicionales en el documento muestran que tampoco hubo discriminación en la asignación de cuadrículas vulnerables a áreas de acción especial.

 

En su conjunto, estos resultados están en marcado contraste con los apagones de 2019 bajo el régimen autocrático de Maduro. La respuesta del gobierno de Chávez a la Tragedia de Vargas no exhibió discriminación política sistemática. A pesar de enfrentar presiones electorales inminentes en las megaelecciones de 2000, Chávez—aún operando bajo restricciones democráticas—mantuvo una respuesta imparcial al shock. Este contraste dentro del mismo movimiento político pero bajo diferentes tipos de régimen sugiere que las restricciones institucionales democráticas pueden limitar el favoritismo estratégico durante crisis, incluso cuando los incentivos electorales podrían motivarlo.

 

Favoritismo durante las sequías nacionales en el África subsahariana

 

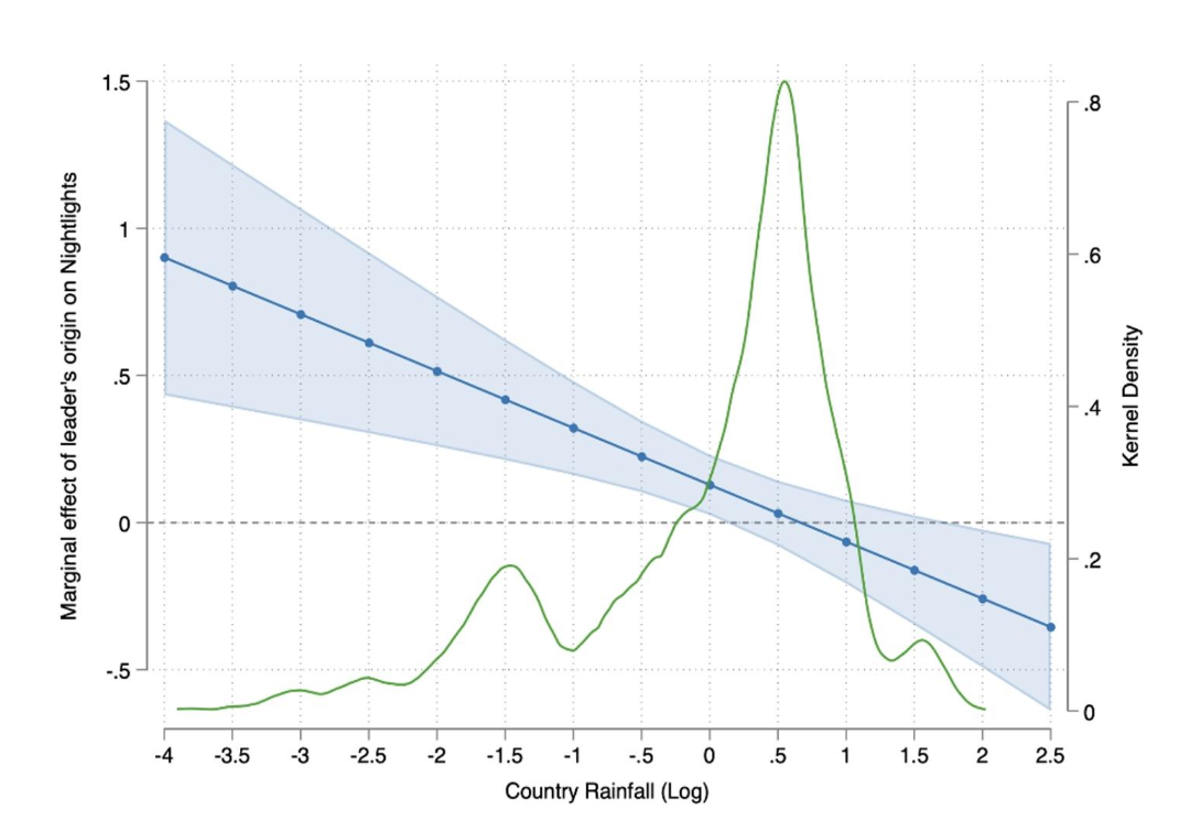
También evalúo cómo las sequías nacionales en el África subsahariana afectan los patrones observados de favoritismo étnico y regional (Frank y Rainer 2012, Dickens 2018). La relativa dependencia de la región de la agricultura de secano la hace particularmente vulnerable a estos eventos climáticos exógenos, los cuales han demostrado afectar tanto la prevalencia de conflictos (Miguel et al. 2004) como la probabilidad de cambio de régimen (Bruckner y Ciccone 2014).

 

Comparo las regiones de nacimiento de los líderes del país cada año con otras regiones. Aprovechando los datos de luces nocturnas como proxy para el desarrollo económico local, evalúo si la diferencia de luminosidad a favor de las regiones de los líderes crece durante los años con precipitaciones nacionales inusualmente bajas. De manera similar, recopilo datos locales sobre protestas de la Base de Datos Global de Eventos, Lenguaje y Tono (GDELT) para evaluar si el inicio de la disidencia después de una sequía se concentra lejos de las regiones de los líderes. La Figura 3 muestra que ambas predicciones se cumplen en los datos. Desde la perspectiva del modelo, los regímenes se involucran en mayor favoritismo durante las sequías para limitar la disidencia.

 

Figura 5 Impacto del origen de los líderes en las luces nocturnas y las protestas

 

Image
fig5-a-blog-autocrats
A) Efecto marginal del origen del líder en las luces nocturnas

 

 

Image
fig-5-b-blog-autocrats
B) Efecto marginal del origen del líder en las protestas

Nota: Las luces nocturnas aumentan en las regiones de los líderes durante períodos de baja precipitación nacional, mientras que la probabilidad de disidencia después de una sequía se concentra lejos de las regiones de los líderes.

Fuente: Cálculos del autor.

 

Crucialmente, evalúo si estos patrones de favoritismo magnificado durante sequías son específicos a regímenes autocráticos. Clasifico a los países como dictaduras si su puntuación Polity IV es de 0 o menos, lo que permite contrastar patrones entre democracias y autocracias. Los resultados de la Tabla C muestran que los patrones de favoritismo regional durante sequías nacionales son específicos a regímenes autocráticos. Mientras que las diferencias en desarrollo económico en favor de regiones afiliadas a líderes se intensifican durante sequías en dictaduras (Columna 2), este patrón está ausente en democracias (Columna 3). La Columna 4 confirma estadísticamente esta heterogeneidad: la interacción triple indica que el efecto de ser la región del líder durante una sequía es 0.20 desviaciones estándar mayor en dictaduras que en democracias.

 

Image
tablac-blog-autocrats
Tabla C: Favores al grupo interno en dictaduras y democracias

Notas: Los efectos de favoritismo durante sequías se concentran en dictaduras. En democracias, no hay evidencia significativa de favoritismo magnificado durante shocks climáticos.

 

Desde la perspectiva del modelo, estos hallazgos sugieren que las restricciones institucionales democráticas limitan la capacidad o incentivos de los líderes para discriminar estratégicamente durante crisis económicas, incluso cuando tales crisis podrían justificar o facilitar la discriminación. En contraste, los autócratas—enfrentando menos restricciones institucionales—se involucran en mayor favoritismo durante sequías para limitar la disidencia y proteger su supervivencia política.

La importancia de estos hallazgos en nuestros tiempos turbulentos

Los últimos años han estado marcados por crisis económicas masivas en todo el mundo. Tanto la pandemia como la invasión de Ucrania han provocado aumentos drásticos de precios en bienes básicos y alimentos esenciales. Además, la creciente prevalencia de fenómenos meteorológicos extremos subraya la amenaza del cambio climático como una fuente latente de shocks. De cara al futuro, debemos considerar las implicaciones políticas e institucionales de nuestras respuestas a estos eventos cada vez más comunes y destructivos.

 

El análisis anterior sugiere que los autócratas pueden tener incentivos políticos para discriminar y reprimir aún más a los grupos de oposición en su respuesta a las crisis económicas. Mientras nos apresuramos a apoyar la recuperación de las áreas afectadas como comunidad global, la falta de atención a la gobernanza sobre la distribución de los recursos de emergencia puede hacer que nuestros esfuerzos no solo sean ineficaces, sino que incluso puedan resultar contraproducentes.

 

Referencias
  1. Ades, A. F. y Glaeser, E. L. (1995), "Comercio y circos: Explicando los gigantes urbanos" (Trade and circuses: Explaining urban giants), The Quarterly Journal of Economics 110(1): 195–227. 

  2. Brückner, M. y Ciccone, A. (2011), "Lluvia y la ventana de oportunidad democrática" (Rain and the democratic window of opportunity), Econometrica 79(3): 923–947. 

  3. De Luca, G., Hodler, R., Raschky, P. A. y Valsecchi, M. (2018), "Favoritismo étnico: ¿Un axioma de la política?"(Ethnic favoritism: An axiom of politics?), Journal of Development Economics 132: 115–129. 

  4. DeNardo, J. (1985), "Poder en números: La estrategia política de protesta y rebelión" (Power in numbers: The political strategy of protest and rebellion), Princeton University Press. 

  5. Dickens, A. (2018), "Favoritismo etnolingüístico en la política africana" (Ethnolinguistic favoritism in African politics), American Economic Journal: Applied Economics 10(3): 370–402. 

  6. Franck, R. y Rainer, I. (2012), "¿Importa la etnicidad del líder? Favoritismo étnico, educación y salud en el África subsahariana" (Does the leader’s ethnicity matter? Ethnic favoritism, education, and health in Sub-Saharan Africa), American Political Science Review 106(2): 294–325. 

  7. Hodler, R. y Raschky, P. A. (2014b), "Favoritismo regional" (Regional favoritism), The Quarterly Journal of Economics 129(2): 995–1033. 

  8. Miguel, E., Satyanath, S. y Sergenti, E. (2004), "Crisis económicas y conflicto civil: Un enfoque de variables instrumentales" (Economic shocks and civil conflict: An instrumental variables approach), Journal of Political Economy112(4): 725–753. 

  9. Morales-Arilla, J. (2022), "Ensayos sobre la Economía Política del Desarrollo" (Essays on the Political Economy of Development), ProQuest Dissertations Publishing. 

  10. Padró i Miquel, G. (2007), "El control de los políticos en sociedades divididas: La política del miedo" (The control of politicians in divided societies: The politics of fear), Review of Economic Studies 74(4): 1259–1274.